Bedeutung des Schnittzeitpunkts von Kleegras im Cut & Carry Verfahren für die Düngewirkung im Kürbis
1. Versuchsdurchführung
Regionetzwerk NRW, Regioversuch
2. Hintergrund
Spezialisierte Feldgemüsebau-Betriebe, zu denen auch der Versuchsbetrieb zählt, stehen vor der Herausforderung, bei einer regional knappen Verfügbarkeit an passenden Nährstoffkooperationen einerseits ihre Pflanzenernährung zu sichern und andererseits eine Verwertung für ihr Kleegras zu finden. Dieses sollte aus Gründen von N-Fixierung, Unkrautunterdrückung und Humusaufbau möglichst in der Fruchtfolge bleiben.
Eine Möglichkeit ist der Transfer von Kleegras als Dünger auf Gemüsekulturen. Dieses als Cut & Carry-Verfahren bekannte Düngesystem wurde bereits in zahlreichen Versuchen erprobt. So zum Beispiel in einem 10-jährigen Langzeitversuch in einer intensiven Gemüsebaufruchtfolge am Versuchszentrum der LWK NRW in Köln-Auweiler. Auch im Leitbetriebe-Netzwerk NRW wurden gute Ergebnisse für verschiedene Kohlarten ermittelt (LWK NRW 2020). Mit dem Cut & Carry-Verfahren konnten meist gute Ergebnisse im Vergleich zu Standarddüngemitteln wie Biogassubstrat oder Haarmehlpellets erzielt werden. Kulturen mit langer Standzeit und hohem und langanhaltendem Nährstoffbedarf profitieren besonders. Das optimale C/N-Verhältnis des Kleegrases ist niedrig (< 15) und eine Einarbeitung ist notwendig, um Lachgasverluste zu minimieren und die Mineralisierung zu fördern. Das Cut & Carry-Verfahren kostet nur 3,00-3,50 € je kg N und ist damit etwa halb so teuer wie Haarmehlpellets (Stumm & Perkons 2019, Blumenstein 2024).
Bei Anwendung des Cut & Carry-Verfahrens stellt sich die Frage des optimalen Schnittzeitpunktes für eine maximale N-Ausnutzung durch die Kultur: Wird früher als für den Futterbau geschnitten, ist der N-Ertrag je Schnitt und das C/N-Verhältnis im Schnittgut niedriger und damit die N-Verfügbarkeit im Dünger höher.
Im vorliegenden Versuch wurden daher zwei gleich große Kleegras-Geberflächen zu unterschiedlichen Zeitpunkten geschnitten und der Aufwuchs zu Kürbis gedüngt. Ziel war, die Ertragswirkung und die N-Ausnutzung aus den verschiedenen Kleegras-Qualitäten zu testen.
3. Versuchsfrage(n)
Kann ein im Vergleich zum Futterbau verfrühter Schnittzeitpunkt von Kleegras die Düngewirkung des Schnittguts auf Kürbis verbessern und dadurch den geringeren Massenaufwuchs überkompensieren?
4. Versuchsaufbau
| Standortbeschreibung | |
|---|---|
| Boden-Klima-Raum | 148 - südwestliches Weser-Ems-Gebiet / sandige Böden |
| Höhenlage (m ü NN) | 52 |
| Bodenart | Ss (nach KA5), lehmiger Sand |
| Jahresniederschlag in mm | 736 im langjährigen Mittel 2024: ca +24% über langjährigem Mittel (Stand Oktober 2024) |
| Durchschnittstemperatur in °C | 10,3 |
| Ausgangslage auf der Versuchsfläche vor Versuchsanstellung | |
|---|---|
| Fruchtfolge | Winterharte ZF, umgebrochen mit Messerwalze & Scheibenegge |
| Bodenuntersuchungen (April 2024) | pH: 5,8 (C) P2O5: 26 mg/100g (D) K2O: 9 mg/100g (C) Mg: 4,8 mg/100g (D) C/N (Boden): 14 Humusgehalt: 2,1 % |
| Versuchsparameter | |
|---|---|
| Versuchstyp* | Einzelversuch, Praxisforschungsanlage |
| Anlagetyp | Streifenversuch |
| Prüffaktor/en | Düngestrategie (Kombinationen aus frühem/spätem Kleegrasschnitt und Potato Protein Liquid (PPL)) |
| Faktorstufen | PPL-Kontrolle (PPL120) Früher Kleegrasschnitt im Cut & Carry-Verfahren C&C_früh) Später Kleegrasschnitt im Cut & Carry-Verfahren (C&C_spät) Je 50% des verfügbaren Stickstoffs aus frühem Kleegrasschnitt und PPL (C&C_früh/PPL) Je 50% des verfügbaren Stickstoffs aus spätem Kleegrasschnitt und PPL (C&C_spät/PPL) |
| Anzahl Wiederholungen | 4 |
| Prüfmerkmale | Anzahl, Stückgewicht, Sortierung, Marktertrag, Nährstoffgehalte im Kürbis, Nmin-Gehalt zur Ernte |
| Versuchszeitraum | 04/2024 bis 10/2024 (Datum letzte Probe) |
* Eine Beschreibung verschiedener Versuchstypen und einiger Grundbegriffe der Versuchsanstellung finden Sie hier (pdf-Datei, 0,4 MB).
Ausgehend von einem Flächenverhältnis von Geber- zu Nehmerfläche von 1:1 wurde für die Düngung von einem betriebsüblichen Stickstoffbedarf für Kürbis (abzüglich des Frühjahrs-Nmin) von 120 kg N/ha ausgegangen.
Der Kleegrasaufwuchs wurde geschätzt, ein theoretisches C/N-Verhältnis festgelegt und eine N-Anrechenbarkeit von 50% angenommen. Zum Zeitpunkt der Düngemaßnahmen wurden die tatsächlichen N-Erträge und C/N-Verhältnisse bestimmt. Diese ergaben, dass lediglich 120 kg Nges/ha (früher Düngezeitpunkt) und 110 kg Nges/ha (später Düngezeitpunkt) ausgebracht wurden.
Aufgrund der Analysedauer der Pflanzenproben musste zum Schnittzeitpunkt mit den Werten aus vorherigen Probeschnitten gerechnet werden, wodurch die Stickstoffgehalte im Erntegut doppelt so hoch wie tatsächlich vorhanden geschätzt wurden. Dies führte zur Ausbringung der halben ursprünglich veranschlagten Stickstoffmenge – real wurde also von 100 % Anrechenbarkeit ausgegangen, indem 120 kg N/ha aus Kleegras gedüngt wurden.
Aufgrund des nassen Frühjahrs verzögerten sich die Schnittzeitpunkte um ca. 2 Wochen (03.05.2024; N-Menge und -Gehalte siehe Abb. 1). Für die Stickstoffdüngung von Kürbis (120 kg N/ha) war die 1,1-fache Fläche mit Kleegrasaufwuchs nötig, es wurden 32 t/ha gedüngt.
Für den späten Schnitt am 24.05.2024 wurde das gleiche Verhältnis von Geber- und Nehmerfeld angesetzt (Faktor 1,1). Durch einen erhöhten Aufwuchs wurden 42 t/ha gedüngt, die Stickstoffmenge im Kleegras blieb in etwa gleich (- 9%). So wurden beide Varianten mit voller Düngung aus Kleegras (C&C_früh und C&C_spät) mit ca. 120 kg N/ha gedüngt.
Versuchsskizze
Der Versuch (sechs Varianten) wurde als Streifenversuch in vier Blöcken angelegt. Mit 3 m umfasste jeder Streifen zwei Reihenabstände (1,5 m). Im Versuch wurde jeweils nur die mittlere Kürbisreihe der Parzellen beprobt. Die technisch bedingte streifenweise Ausbringung von PPL ergab Einschränkungen in der Randomisierung (siehe Versuchsplan).

Es ergaben sich die folgenden Faktorstufen:
PPL-Kontrolle (PPL)
Früher Kleegrasschnitt im Cut & Carry-Verfahren (C&C_früh)
Später Kleegrasschnitt im Cut & Carry-Verfahren (C&C_spät)
Je 50% des verfügbaren Stickstoffs aus frühem Kleegrasschnitt und PPL (C&C_früh/PPL)
Je 50% des verfügbaren Stickstoffs aus spätem Kleegrasschnitt und PPL (C&C_spät/PPL)
Versuchsanlage
Der Kleegrasaufwuchs wurde am jeweiligen Tag der Ausbringung gemäht und im absetzigen Verfahren mit einem 3-Meter-Streuer auf die Versuchsstreifen ausgebracht (siehe Fotos). Im Anschluss wurde das Kleegras eingefräst. Eine Woche nach dem späten Schnitt (03.06.2024) erfolgte die PPL-Ausbringung in den Varianten mit kombinierter und ausschließlicher PPL-Düngung. Die abschließende Bodenbearbeitung erfolgte mit einer Spatenmaschine. Am 07.06.2024 wurden die Kürbisse gesät, eine Nachsaat von Fehlstellen erfolgte am 24. Juni. Die Zusammensetzung der Stickstoffdüngung der Varianten kann Tabelle 1 entnommen werden.
| Nmin Pflanzung | Nverfügbar aus C&C | Nverfügbar aus PPL | Nverfügbar gesamt | |
|---|---|---|---|---|
| PPL | 20 | 0 | 120 | 140 |
| C&C_früh/PPL | 20 | 36 | 80 | 136 |
| C&C_früh | 20 | 60 | 80 | |
| C&C_spät/PPL | 20 | 31 | 80 | 131 |
| C&C_spät | 20 | 70 | 90 |
Versuchsbegleitung und -ernte
Zwei, fünf und sieben Wochen nach der Pflanzung wurden in einem der vier Blöcke Nmin-Proben in drei Schichten (0 – 30 cm, 30 – 60 cm, 60 – 90 cm) gezogen, um die N-Freisetzung zu verfolgen.
Der Versuch wurde am 02.10.2024 geerntet, etwa eine Woche nach der Feldernte. Bei der Feldernte wurde leider ein Block mitgeerntet, sodass drei der vier Wiederholungen verblieben.
Vor der Versuchsernte wurden Drohnenfotos (Typs DJI Phantom RTK 4) aus 25 m Höhe vom Versuch aufgenommen. Mit Unterstützung von Lucas Wittstruck (FH Osnabrück) wurden die Luftaufnahmen zu einem georeferenzierten Orthomosaik zusammengesetzt, über das die GPS-Parzellenmarkierungen gelegt werden konnten. Mit Hilfe dieser Luftausnahmen wurde versucht, eine Ertragsschätzung durchzuführen.
Zur Ernte wurden Nmin-Proben in drei Schichten (0 – 30, 30 – 60, 60 – 90 cm) gezogen.
Aufgrund von Pflanzenausfällen wurden die ersten 25 Meter als Probeparzelle festgelegt. Gleichmäßig über die Probeparzelle verteilt wurden je 20 zufällig ausgewählte Kürbisse geerntet, was dreimal wiederholt wurde. Bei zwei von drei Proben wurde lediglich das Gesamtgewicht der 20 Kürbisse bestimmt. Von einer der drei Proben wurden alle Exemplare gewogen sowie Höhe (ohne Stiel und Spitze) und Durchmesser bestimmt. Aus fünf Kürbissen wurden Proben zur Untersuchung von Makro- und Mikronährstoffen an die LUFA NRW versandt (Methode: ICP).
Statistische Auswertung
Die Datenauswertung erfolgte mit R. Alle Daten wurden mittels Generalisierter Linearer Modelle analysiert; Zähldaten wurden hierfür als Poisson-verteilt mittels log-Link transformiert.
7. Ergebnisse
7.1 Auflaufverhalten
Der Auflauf in den mit Kleegras gedüngten Varianten war bedeutend schlechter als in den restlichen Varianten: Drei Wochen nach der Saat waren mit 0,8 Pflanzen/m2 im Mittel der Varianten gut halb so viele Pflanzen etabliert wie in den Varianten ohne Kleegrasdüngung (1,33 Pflanzen/m2), der Unterschied war signifikant (p = 0,004). Daher wurde in allen Varianten nachgesät. Die Pflanzen konnten über die Saison die Wachstumsverzögerung weitgehend kompensieren, sodass die Pflanzenzahl nicht als ausschlaggebend für die folgenden Ergebnisse angesehen werden kann.
7.2. Ertrag und Sortierung
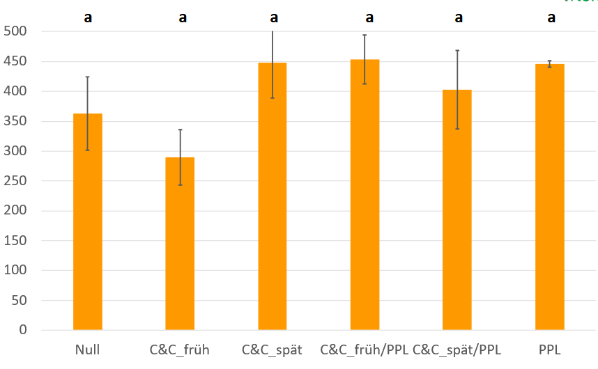
Zum Erntezeitpunkt war der Rohertrag bei allen Varianten mit Kleegrasdüngung, mit Ausnahme von C&C_früh, mit der PPL-Düngung vergleichbar (Abbildung 1). Diese Verteilung spiegelte sich auch in der Kürbisanzahl wider, während das mittlere Kürbisgewicht über alle Varianten nicht verschieden war.

Die im Rohertrag starke Variante C&C spät wies eine schlechtere Sortierung auf, während die Varianten mit kombinierter Düngung mit der PPL-Düngung vergleichbar waren (Abbildung 2).

Dies ergab im Marktertrag, dass nur die kombinierte Düngung ähnlich gut abschnitt wie die PPL-Düngung (Abbildung 3). Die Unterschiede waren jedoch nicht signifikant.

7.3 Nährstoffversorgung
Die mit PPL gedüngten Varianten zeigten zum Beginn der Wachstumsperiode eine schnellere und hohe Stickstofffreisetzung, was angesichts der Frühjahrsniederschläge bereits zu Verlagerungen in tiefere Bodenschichten führte (Abbildung 4). Vor allem bei der mit spätem Kleegrasschnitt gedüngten Variante (C&C_spät/PPL) war eine verspätete Freisetzung erkennbar. Zur Ernte waren nur noch geringe Nmin-Werte im Oberboden zu finden, während in 30 - 60 cm Tiefe bis zu 40 kg N vorlagen.

Abbildung 5 zeigt den N-Ertrag im Vergleich zur jeweils gedüngten N-Menge. In der Variante C&C_spät (ca. 80 kg/ha) wurden trotz geringer N-Düngemenge die höchsten N-Erträge erzielt. Die Varianten mit kombinierter Düngung wiesen vergleichbare N-Erträge wie die PPL-Düngung auf (ca. 60-70 kg/ha). Bei allen gedüngten Varianten lag der Anteil der mit dem Kürbis abgefahrenen N-Menge an der Gesamt-N-Düngung bei 32 - 48 %.
Ein ähnliches Bild zeigt sich beim Kalium-Ertrag (nicht abgebildet).

7.4 Pflanzenerkennung
Die Aufnahme des Orthomosaiks zur Ernte funktionierte gut, allerdings waren die Bilder durch leichten Wind verwackelt, was beim Zusammenfügen des Mosaiks zu höherer Unschärfe führte.
Unter weitgehend laubfreien Bedingungen wurden 94 % der Kürbisse als solche erkannt. Zwar wurde der Ertrag durch die Unschärfe überschätzt (größere Kürbisse als in der Realität), die Regression zwischen Relativertrag im Feld und bei Drohnenmessung war jedoch sehr vielversprechend (Steigung von 0,98, R2: 0,77).
8. Diskussion
8.1 Durchführung der Kleegrasdüngung
Die Düngung musste am Tag der Ausbringung nachjustiert werden und wurde im absetzigen Verfahren durchgeführt. Als schwierig stellte sich heraus, dass der Dünger nur mit geeignetem Gerät gleichmäßig verteilt werden kann. Eine ungleichmäßige Verteilung führt besonders im Gemüse zu ungleichmäßigen Nährstoffverteilungen und heterogenen Produktqualitäten (Sortierung, Abreife). Die gleichmäßige Verteilung gelang im Versuch mit einem 3-Meter-Streuer.
Wie beschrieben wurden die N-Gehalte im Schnittgut überschätzt. In den Varianten mit kombinierter Düngung (C&C_früh/PPL und C&C_spät/PPL) wurde dies durch eine verstärkte Nachdüngung mit PPL kompensiert, sodass diese Varianten nur zu 30 – 40 % des Gesamt-N-Bedarfs aus Kleegras ernährt wurden.
8.2 Auflaufverhalten
Für das schlechte Auflaufverhalten in den mit Kleegras gedüngten Varianten kommen verschiedene Ursachen infrage: Zum einen wurde in diesen Streifen eine große Menge frischer organischer Substanz ausgebracht, was zur Bildung von keimungshemmenden Abbauprodukten führen kann (Kolbe et al. 2004). Dagegen spricht, dass selbst bei der spät ausgebrachten Variante zwei Wochen zwischen Kleegrasdüngung und Saat lagen, in denen gute Bedingungen für einen Abbau erster Stoffwechselprodukte vorlagen.
Zum anderen veränderte die Ausbringung von Kleegras und die damit verbundene Bodenbearbeitung (Fräsen/Spatenmaschine) die Lagerungsdichte. Die Rückverfestigung war weniger gut, was sich negativ auf die Kapillarität und damit das Quell- und Keimverhalten der Kürbissamen auswirken kann.
8.3 Ertrag und Sortierung
Ertrag und Sortierung waren zum Erntezeitpunkt nicht signifikant, zeigen jedoch größere Unterschiede. Die kombinierte Düngung aus frühem oder spätem Kleegrasschnitt und PPL erzielte Markterträge, die mit der reinen PPL-Düngung vergleichbar waren. Insbesondere die Kombination aus frühem Schnitt und PPL-Düngung (C&C_früh/PPL), die auch geringe Pflanzenausfälle beim Auflaufen zur Folge hatte, führte zu guten Erträgen und Sortierungen.
Während die späte Kleegrasdüngung noch zu hohen Roherträgen führte, fielen beide reinen Kleegrasdüngungs-Varianten durch schlechte Sortierungen auf. Dies führte dazu, dass sie auch beim Marktertrag schlechter als die kombinierten Varianten und als die PPL-Variante abschnitten.
8.4 Nährstoffversorgung
Bedingt durch die geringere insgesamt gedüngte N-Menge fielen die reinen Kleegrasdüngungs-Varianten erwartungsgemäß in der N-Freisetzung ab. Während sich zwischen den Kombi-Varianten und der PPL-Kontrolle zwei Wochen nach der Saat noch kein Unterschied zeigte, war die Freisetzung danach bei den Kombi-Varianten höher. Dies kann ein Effekt der leicht höheren Gesamt-N-Düngung sein, aber auch eine gleichmäßigere Freisetzung über die Saison widerspiegeln, da zwei unterschiedlich schnell mineralisierende Düngemittel kombiniert wurden.
Das C/N-Verhältnis ist ein Indikator für die Freisetzung des im Dünger gebundenen Stickstoffs im Boden – je niedriger, desto besser ist N pflanzenverfügbar. Bei der spät geschnittenem Kleegras Variante (C&C_spät) könnte eine verzögerte Freisetzung stattgefunden haben. Dies führte im Versuch bei Düngung des späten Kleegrasschnitts dazu, dass die Boden-Nmin-Werte anfangs nur langsam anstiegen, dann aber bis zur Ernte über denen des frühen Schnittzeitpunkts lagen. Trotz geringer Gesamt-N-Menge lagen in der Variante C&C_spät zur Ernte die höchsten Boden-Nmin-Gehalte in 0 – 90 cm vor. Eine weitere Verlagerung nach Ernte ist daher möglich. Eine spätere N-Mineralisierung führt zwar zu einer besseren N-Versorgung zur Ernte (hohe N-Gehalte im Kürbis), ist aber im Kontext der Fruchtreife und Lagerfähigkeit als negativ zu bewerten (Schöneberg und Liebisch 2023). Dies kann auch die hohen N-Gehalte im Kürbis (C&C_spät) erklären.
8.5 Pflanzenerkennung
Die Pflanzenerkennung funktionierte gut, auch wenn das Modell für Rankentypen optimiert war (Wittstruck et al. 2021). Eine Kalibration am Feld ist zum jetzigen Stadium noch nötig, die Erkennung und die Ertragsverteilung (Größenklassen) machen aber Hoffnung auf gute Ergebnisse bei einer Weiterentwicklung.
9. Fazit und Ausblick
Ein Ersatz von 35 % des Düngebedarfs durch Kleegrasschnitt erzielte vergleichbare Markterträge wie eine reine Ernährung mit PPL. Dabei zeichnete sich besonders eine Kombination aus PPL und frühem Kleegrasschnitt durch hohe Erträge und eine gute Sortierung aus, da die Freisetzung durch die Kombination beider Dünger gleichmäßig und an den Bedarf der Kürbisse angepasst erfolgte. Bei später geschnittenem Kleegras erfolgt die Freisetzung verzögert, was zu mehr Reststickstoff führt, der nach der Ernte im Boden verbleibt.
Die N-Freisetzung in den kombinierten Düngevarianten, auch aus dem spät geschnittenen Kleegras, war besser, als es die hohen C/N-Verhältnisse erwarten ließen. Beim frühen Schnitt wurde jedoch die gleiche Menge an Gesamtstickstoff geerntet, während gleichzeitig 30 % weniger Erntegut transferiert werden musste. Die Düngestrategie kann daher an den Sätermin des Kürbisses angepasst werden.
Die Auflaufverluste nach Kleegrasdüngung zeigen, dass sich Bodenstruktur und/oder keimungshemmende Abbauprodukte negativ auf die Etablierung der Kultur auswirken können, auch wenn eine klare Ursache in diesem Versuch nicht identifiziert werden konnte. Zwischen Ausbringung und Aussaat sollten daher vorsichtshalber mindestens zwei Wochen liegen, auf eine Rückverfestigung des Saatbetts sollte geachtet werden.
Für den NutriNet-Betrieb ist das Verfahren weiterhin interessant, sodass auch in der Folgesaison ein Versuch dazu angelegt wird. Die Varianten mit reiner Kleegrasdüngung werden jedoch nicht mehr in den Versuch integriert.
Text: Daniel Gärttling, Hannes Schulz, Anne Droscha, Elisa Mutz
Datum: 10.12.2025
10. Literatur
- Stumm & Perkons (2019): Das System Cut & Carry: Mit Futterleguminosen düngen. Öko Aktuell. Heft 62, November 2019. Informationen des Verbandes BIOPARK Ökologischer Landbau
- Blumenstein (2024): Mit Kleegras düngen: Nutzungsverfahren wirtschaftlich bewerten. Online unter: www.nutrinet.agrarpraxisforschung.de/naehrstoffmanagement/massnahmen-oekonomisch-bewerten/mit-kleegras-duengen-nutzungsverfahren-wirtschaftlich-bewerten
- Wittstruck, L., Kühling, I., Trautz, D., Kohlbrecher, M., & Jarmer, T. (2021). UAV-Based RGB Imagery for Hokkaido Pumpkin (Cucurbita max.) Detection and Yield Estimation. Sensors, 21(1), 118. https://doi.org/10.3390/s21010118
- Schöneberg, T., & Liebisch, F. (2023). Grundlagen für die Düngung landwirtschaftlicher Kulturen in der Schweiz (GRUD) – Kapitel 10. Ausgabe 2023.
- LWK NRW (Hrsg.) (2020): Etablierung grundwasserschonender Anbauverfahren für die Landwirtschaft und den Gartenbau. 5 Jahre Modellbetrieb – eine (erste) Bilanz. S. 30
- Kolbe, H. (2004). Wasserschutz und ökologischer Landbau. Vortrag auf dem 29. SIGÖL-Fortbildungskurs am 04.03.2004 in Bad Düben. Sächsische Landesanstalt für Landwirtschaft.
Kontakt Regioberaterin

Julia Kelders
Tel. +49 221 5340-115
Julia.Kelders(at)lwk.nrw.de







